カスティリアノの定理とは?構造の変形を計算し易くなる定理です!

zairiki
一歩踏み込む材料力学の教室【中級編】
  • 初級編「ここから始める!材料力学の教」を見終わった人向け
  • このシリーズで材料力学の踏み込んだ内容を理解しよう!

今回の内容

今回はこの教室の13回目として、「カスティリアノの定理」を紹介します。

再生できない方はこちらからどうぞ

まとめ

  • 部材の変位は部材に蓄えられるひずみエネルギーを荷重で偏微分すると求まる。これを「カスティリアノの定理」という。
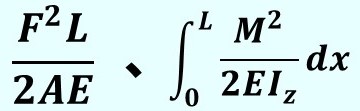
  • 長さL、断面積A、断面二次モーメントIzの梁を荷重Fで引張る時と曲げモーメントMで曲げる時、それぞれのひずみエネルギーは下記の式で、これを荷重で偏微分すると変位が求まる。
  • カスティリアノの定理は複数部材の構造も適用可

関連する内容

次へ ⑭疲労強度とは?使い始めは大丈夫なのに、しばらく使ってから壊れる現象です!

前へ ⑫衝撃応力とは?衝突などで瞬間的に生じる応力です!

材料力学の教室

材料力学用語辞典

身近な材料力学

HOME

ABOUT ME
生活に役立つ材料力学
生活に役立つ材料力学
材料力学分野の仕事に20年以上従事する博士(工学)が運営しています。
2022年にYoutubeチャンネルを開始し、動画数が増えてきたので探しやすくするために本サイトを開設しました。
ここで紹介する動画以外にもYoutubeには多くの動画が有るので、ぜひチャンネル登録もお願いします。
記事URLをコピーしました